近日,我院宇宙学团队在暗物质研究领域取得新进展。研究结果以题目为“Hydrodynamics of ultralight complex scalar field dark matter and its impact on the growth of structure”的论文发表在中国科学院一区期刊Science China Physics, Mechanics & Astronomy (SCPMA)。论文的第一作者为金年会2023级硕士研究生杨祺,通讯作者为金年会助理教授李博华。我校为论文的第一单位及唯一通讯单位。

暗物质在宇宙大尺度结构的形成和演化过程中扮演着极其重要的角色,超轻暗物质是其主流候选体之一。我院宇宙学团队立足于复标量场超轻暗物质,针对其不同于传统轴子暗物质的非理想流体特性,开创性地采用了Eckart参考系(也就是粒子输运速度作为暗物质流体速度)与相对论性流体的刚性规范(stiff gauge),成功构建了该暗物质模型在宇宙学微扰论下的流体力学理论框架,并以此分析了其宇宙大尺度结构的早期演化特征。
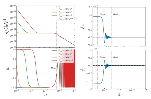
图1 超轻复标量场暗物质的早期动能主导相(kination, w=1)
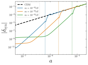
图2 超轻复标量场暗物质密度涨落的早期演化
本文对宇宙学非理想流体的研究结果也可以应用于复标量场驱动的宇宙暴涨机制及相应动力学暗能量模型中,为未来宇宙学理论发展提供了新思路。
论文链接:https://link.springer.com/article/10.1007/s11433-025-2700-y